硫酸鈉專用烘干機
硫酸鈉俗稱芒硝、皮硝,芒硝為白色透明結晶顆粒或結晶性粉末,主要用于化工原料,可溶于水,其含水量為5%干燥到0.5%以下。原有振動流化床烘干機存在的問題,流化效果不佳,流化床網板易漏粉,清潔不方便等。硫酸鈉振動流化床烘干機為了避免這些問題,在原有烘干機上做了改進,流化床床體整體架高,使流化效果達到zuijia狀態,物料停留時間延長,產品終水份達到客戶要求,床體網板采用蛇形孔網板,解決了漏粉現象。
1月份河北客戶與我司簽訂的振動流化床干燥機用于硫酸鈉干燥,已發往客戶處,我司售后人員現場指導安裝,現已正式投產運行,產量超出客戶預想,深得客戶好評!
圖為運行現場:
硫酸鈉振動流化床干燥機的設計:
(1)振動流化床干燥機忽略物料干燥時的預熱階段,整個干燥過程分為恒速段和降速段兩部分。
(2)在振動流化床干燥機床層高度方向上的物料是完全返混的,且忽略顆粒內部的熱阻,故床層高度方向各處具有相同的溫度和濕度
(3)在振動流化床干燥機水平方向熱流體進入振動流化床(VFB)干燥器的流量及溫度保持不變。
(4)在振動流化床干燥機水平方向物料移動是理想的活塞流,故在振動流化床(VFB)干燥器內的溫度和
濕度變化是一維的。
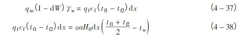
1.恒速干燥段在振動流化床干燥機干燥段物料表面溫度保持空氣濕球溫度不變,干燥的推動力溫度梯度也是定量值。在干燥器中沿水平方向取一微元體,其長為dw,寬為干燥器內的寬度,高為H0,對該微元體進行能
量衡算有下列關系式:

式中qm———干料加料速度,Kg/s;
W———單位干物料濕含量,Kg/Kg
rw———恒速干燥段濕球時水的汽化潛熱,kj/㎏;
qf———進入單位長度床層的熱流體質量流量,㎏/( s·m);
cf———熱流體比熱容,kj/( ㎏·℃);
tf1,tf2———分別為熱流體進出床層溫度,℃;
tw———恒速干燥段的濕球溫度,℃;
α———VFB中熱流體與物料顆粒的對流給熱系數,Kw/( m?·℃);
α———靜止床層單位體積物料的總表面積,m平方/ m立方。
式(4-38)中取熱體進出床層的平均溫度作為床層中熱流體的溫度。
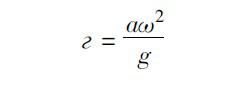
對于α有許多文獻研究證實振動可強化氣" 固之間的換熱強度。現給出實驗關聯式:

式中Nu———努塞爾數;
dp———顆粒粒徑,m;
λ———流體的熱導率,kW/m.℃
δ———振動參數

其中:a———振幅,m;
w———振動角頻率,rad/s;
g———重力加速度,m/s的平方
應指出以上關聯式是在一定物料及操作條件下得出的,若用于其他情況應慎重。在恒速干燥段去除的水分是屬于顆粒的外部水分,此時氣—固之間的換熱強度是決定干燥速度的主要因素。因此采用振動流化床(VFB)干燥機裝置較普通流化床(CFB)可大大提高恒溫干燥段的干燥速度。由式(4-37)及式(4-38)整理可得:

將單值性條件x=0,W=W1(物料進口濕含量)代入式(4-39)得:

上式即為振動流化床(VFB)干燥機中恒速干燥段濕含量(W)與床層長度的關系。若已知臨界濕含量(Wc),可由上式計算出恒速干燥段長度X1。
任何機械設備在使用的過程中都會出現或多或少的故障,流化床干燥機也不例外,所以對流化床干燥機的故障研究從而來改善流化床干燥機的工藝技術起到了非常重要的意義。
在流化床干燥機維修中,研究流化床干燥機故障的目的是要查明流化床干燥機故障模該機器除了具有很好的基本的功能之外,還能根據工藝需要附有物品的冷卻、篩分和輸送等,適用范圍是非常的廣,為了能夠提高生產效率,我們可以通過一些方法來提升整個的效果。
提高振動流化床效率方法:從干燥機的構造上來說,如果能夠合理的配置干燥機的除塵系統,讓干燥機的工作環境更加流暢,不但能夠提高生產熱風循環烘箱是一種市場上應用非常多的一款烘干設備。其使用過程中可能會產生溫度過沖太大的問題。溫度過沖太大是指熱風循環烘箱在開機時,工作溫度超過設定溫度3℃以上后,慢慢降低并穩定在目標溫度上的現象。一些醫藥、生物、化工、食品、電子等行業對這種現象是比較敏感的。
理論上,徹底消除溫度過沖是不干燥機的發展較快,種類繁多,功能強大,在生產生活中的許多方面都發揮著它的作用,對流傳熱干燥機就是其中一款用途比較廣泛的干燥設備,它具體適用哪些方面,它的工作原理又是什么,通過下面的文字我們一起學習了解一下對流傳熱干燥設備的特點。
- 2025-09-30 > 力度干燥——真空干燥機操作全攻略:從開機到維護,一步到位不踩坑
- 2025-09-29 > 力度干燥——醫藥中間體閃蒸干燥機安全操作規程
- 2025-09-27 > 力度干燥——大米蛋白粉高效沸騰干燥機!
- 2025-09-22 > 力度干燥——回轉滾筒干燥機技術研究深度解析!
- 2025-09-22 > 力度干燥技術驅動下的微囊化顆粒制備工藝!
- 2025-09-22 > 破解噴霧干燥機堵料難題:解決方案的高效方式!
- 2025-09-22 > 鐵皮石斛提取液干燥新選擇:力度干燥噴霧干燥機!
- 2025-09-20 > 醫藥級干燥標準,從力度干燥甘露醇沸騰干燥機開始!
- 2025-09-18 > 力度干燥——高效制粒不踩雷!流化床操作全指南!
- 2025-09-18 > 力度干燥——環氧樹脂雙錐真空干燥機!



